Abstrakcyjny
Niniejszy wzór użytkowy ujawnia rafinowany kamień olejowy z logarytmicznym wypukłym stożkowym wałkiem. Dwie strony prostokątnego kamienia olejowego w kierunku długości składają się z wklęsłych do wewnątrz powierzchni, które mają ten sam kształt i są symetrycznie rozmieszczone. Trzecia strona prostokątnego kamienia olejowego w kierunku długości jest wklęsłą powierzchnią o tym samym promieniu i stożku co stożkowy wałek. Teoria szlifowania zakłada, że ilość cięcia przedmiotu obrabianego jest wprost proporcjonalna do długości łuku styku. Zaprojektuj strukturę kamienia olejowego w oparciu o obliczoną krzywą wypukłości logarytmicznej i uzyskaj wymaganą wypukłość logarytmiczną po szlifowaniu kamienia olejowego. Zastosowanie tej struktury do obróbki wypukłości wałka wymaga prostego sprzętu do obróbki, niskich kosztów i łatwej obsługi, co rozwiązuje problem trudnej i kosztownej obróbki walców wypukłości logarytmicznej i ma wysoką wartość inżynieryjną i korzyści ekonomiczne.
Opis
Kamień naftowy rafinowany w kształcie stożkowego wałka o wypukłości logarytmicznej
Tdziedzina techniczna
Niniejszy wzór użytkowy dotyczy kamienia olejowego używanego do obróbki walców wypukłych, a w szczególności kamienia olejowego do precyzyjnego mielenia walców stożkowych o siatce logarytmicznej wypukłej.
Technologia tła
Kontakt między rolką o skończonej długości a bieżnią powoduje koncentrację naprężeń na końcu rolki, co zmniejsza trwałość zmęczeniową łożyska tocznego. Konstrukcja kształtowania rolki może poprawić nośność i trwałość zmęczeniową łożysk tocznych, więc wybór wypukłości rolki i obliczenie pomiaru wypukłości stały się jednymi z kluczowych kwestii. Typy wypukłych rolek obejmują na ogół typ linii prostej, typ łuku półwypukłego, typ łuku całkowicie wypukłego, zmodyfikowany typ linii i typ logarytmiczny. Typ logarytmiczny jest obecnie uważany za najbardziej idealny typ wypukłych rolek, ale jego trudność w przetwarzaniu i wysoki koszt sprawiają, że trudno jest go szeroko stosować w inżynierii.
Sstreszczenie wynalazku
Celem niniejszego wzoru użytkowego jest przezwyciężenie niedociągnięć istniejącej technologii i dostarczenie precyzyjnego kamienia szlifierskiego do wałków stożkowych wypukłych o kształcie logarytmicznym, który nadaje się do obróbki wałków stożkowych wypukłych o kształcie logarytmicznym.
Rozwiązanie techniczne przyjęte w niniejszym wzorze użytkowym jest następujące:
Dwie strony prostokątnego kamienia olejowego w kierunku długości składają się z powierzchni wklęsłych do wewnątrz, które mają ten sam kształt i są symetrycznie rozmieszczone. Trzecia strona prostokątnego kamienia olejowego w kierunku długości jest powierzchnią wklęsłą o tym samym promieniu i stożku co wałek stożkowy.
Równanie krzywej projekcji powierzchni wklęsłej na płaszczyźnie dolnej jest następujące:

We wzorze: x - współrzędna wzdłuż osi wałka stożkowego; Y - współrzędne promieniowe wzdłuż wałka stożkowego; δ (x) - wielkość do zeszlifowania; KC - współczynnik szlifowania; R (x) - promień wałka stożkowego.
Teoria szlifowania zakłada, że ilość cięcia przedmiotu obrabianego jest proporcjonalna do długości styku. Dlatego też poprzez zaprojektowanie struktury kamienia olejowego można osiągnąć cel kontrolowania długości łuku styku między kamieniem olejowym a rolką, a także można obrabiać logarytmiczną wypukłość rolki. Etapy projektowania są następujące:
Wielkość szlifowania δ (x) uzyskuje się z wartości wypukłości rolki T (x), a zależność między wielkością szlifowania a długością łuku styku jest następująca:
δ(x)=kcL(x)
We wzorze: L (x) - długość łuku styku, a L (x)=θ (x) R (x), gdzie θ (x) to kąt obwodowy odpowiadający długości łuku styku obwodowego między walcem a kamieniem szlifierskim podczas szlifowania.
Oblicz kąt zwilżania θ (x):

Na tej podstawie można wnioskować, że krzywa projekcji 7 powierzchni czołowej 3 na płaszczyznę dolną ma następujące równanie:

Krzywa projekcji 8 tylnej powierzchni 5 na dolnej płaszczyźnie i krzywa projekcji 7 przedniej powierzchni 3 na dolnej płaszczyźnie są symetryczne względem x. Promień krzywizny krzywej projekcji 9 widoku przekroju poprzecznego AA górnej powierzchni 1 na płaszczyźnie bocznej jest stożkowym promieniem wałka R (x).
Korzyści płynące z tego wzoru użytkowego są następujące:
1. Wymagany sprzęt przetwórczy jest prosty, ekonomiczny i łatwy w obsłudze;
2. Może przetwarzać dowolny zadany wałek stożkowy o wypukłości logarytmicznej, rozwiązując obecny trudny i kosztowny problem przetwarzania wypukłości logarytmicznej;
3. Ten strukturalny kamień olejowy zapewnia, że jego oryginalne właściwości przetwarzania mogą być utrzymane po pewnym czasie użytkowania, bez wpływu na dokładność przetwarzania.
Załączony opis obrazu

Rysunek 1 przedstawia schemat struktury kamienia olejowego do precyzyjnego szlifowania logarytmicznych wypukłych wałków stożkowych.

Rysunek 2 przedstawia widok z przodu rysunku 1.

Rysunek 3 przedstawia widok przekroju poprzecznego wykonanego wzdłuż linii AA na rysunku 2.

Rysunek 4 przedstawia widok z góry rysunku 1.

Rysunek 5 przedstawia powiększony schematyczny diagram logarytmicznej szyny zbiorczej stożkowego wałka uzyskanego w wyniku obróbki kamienia olejowego zgodnie z niniejszym wynalazkiem.
Na rysunku: 1. Powierzchnia górna; 2. Płaszczyzna lewej strony; 3. Powierzchnia przednia; 4. Płaszczyzna prawej strony; 5. Powierzchnia tylna; 6. Płaszczyzna dolna; 7. Krzywa projekcji powierzchni przedniej 3 na płaszczyznę dolną; 8. Krzywa projekcji powierzchni tylnej 5 na płaszczyznę dolną; 9. Krzywa projekcji przekroju AA powierzchni 1 na płaszczyznę boczną.
Konkretna metoda realizacji
Niniejszy wzór użytkowy zostanie dokładniej objaśniony na podstawie załączonych rysunków i konkretnych przykładów wykonania.
Jak pokazano na Rysunku 1, dwie strony prostokątnego kamienia olejowego w kierunku długości składają się z wklęsłej do wewnątrz przedniej powierzchni 3 i wklęsłej do wewnątrz tylnej powierzchni 5. Dwie powierzchnie mają ten sam kształt i są symetrycznie rozmieszczone. Trzecia strona prostokątnego kamienia olejowego w kierunku długości to górna powierzchnia 1, która jest wklęsła o tym samym promieniu co stożkowy wałek. Lewa płaszczyzna 2, prawa płaszczyzna 4 i dolna płaszczyzna 6 są płaszczyznami. 7 to krzywa projekcji przedniej powierzchni 3 na dolnej płaszczyźnie, 8 to krzywa projekcji tylnej powierzchni 5 na dolnej płaszczyźnie, a 9 to krzywa projekcji przekroju poprzecznego AA górnej powierzchni 1 na płaszczyźnie bocznej.
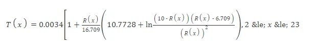
Średnica dużego końca stożkowego wałka wynosi 20 mm, średnica małego końca wynosi 13,418 mm, a długość wynosi 25 mm. W tym przykładzie Lundberg zaproponował słynny wzór wypukłości Lundberga w 1939 r., który brzmi następująco:

θ 1, θ 2- połowa kąta styku rolki z bieżnią wewnętrzną i zewnętrzną; A1, a2- duży promień końcowy i mały promień końcowy stożka; Q - obciążenie; R (x) - promień rolki w dowolnym przekroju; E1, E2- moduł sprężystości materiałów rolki i bieżni; V1, v2- współczynnik Poissona materiałów rolki i bieżni; T (x) - wartość wypukłości rolki stożkowej.
W poprzednim procesie, dwa końce rolki zostały sfazowane pod kątem 45 stopni w odległości 2 mm. Dlatego podczas projektowania kamienia olejowego, zaprojektowano tylko wypukłość przy x ∈ [2, 23], odpowiadającą R (x) ∈ [6,972, 9,737]. θ1=21,311 stopnia, θ2=13,811 stopnia, a1=6,709 mm, a2=10 mm, Q=2 kN, E1=E2=206 GPa, v1=v2=0,3. Podstawienie wzoru na wypukłość daje:

Z powyższego równania wynika, że Tmax=0.0167 oznacza ilość do zmielenia

Biorąc pod uwagę naddatek na obróbkę wynoszący 0.003mm, rzeczywista ilość do zeszlifowania wynosi

Weź kc=0.0034, zgodnie ze wzorem

Równanie dla krzywej 7 na rysunku 2 (c) jest następujące:

Krzywa projekcji 8 tylnej powierzchni 5 na dolnej płaszczyźnie na Rysunku 4 jest symetryczna względem osi x względem krzywej projekcji 7 przedniej powierzchni 3 na dolnej płaszczyźnie. Promień krzywizny krzywej projekcji 9 widoku przekroju poprzecznego AA górnej powierzchni 1 na płaszczyźnie bocznej wynosi R (x). Po zeszlifowaniu kamienia olejowego można uzyskać powiększony schematyczny diagram logarytmicznej tworzącej stożkowego wałka pokazanego na Rysunku 5.
Powyższy opis jest jedynie konkretnym wcieleniem obecnego modelu użytkowego, a obecny model użytkowy nie jest ograniczony do powyższego wcielenia. Może być modyfikowany w różnych formach, o ile pozostaje zgodny z ideą techniczną opisaną w roszczeniach. Chociaż ta specyfikacja ujawnia konkretny schemat implementacji obecnego modelu użytkowego, zakres ochrony nie jest w żaden sposób ograniczony do tego, a wszelkie modyfikacje dokonane na tej podstawie powinny być chronione przez roszczenia dołączone do niniejszego zgłoszenia.
2024 1 sierpniaRekomendacje produktowe WBM na tydzień:
Wykrojniki, dziurkacze:
WBM produkuje matryce stożkowe z wysoką wydajnością i automatyzacją. Wałki są formowane na pojedynczej automatycznej prasie do tłoczenia na zimno i są podawane, cięte i dziurkowane w matrycy w pięciu krokach.
Możemy produkować różne typy i rozmiary matryc stożkowych z zapewnieniem jakości, w tym: stemple kombinowane, tuleje zewnętrzne, ostrza, stemple kombinowane, cylindry podające, matryce kombinowane, tuleje dwuwarstwowe, wkładki.
https://www.w-bm.com/products/Taper-roller-Cold-heading-dies/Heading-dies,Punch/400.html

